发布时间:2022-01-18 浏览次数:652次
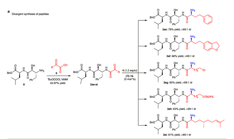
我校资源化学教育部重点实验室赵宝国教授团队于2021年8月在NATURE COMMUNICATIONS期刊上发表题为“Asymmetric biomimetic transamination of alpha-keto amides to peptides”的最新研究成果。上海师范大学为通讯作者及第一署名单位,赵宝国教授为通讯作者,团队成员均为我校研究人员。该研究获得国家自然科学基金、上海市教委、上海市科委等基金项目的支持。NATURE COMMUNICATIONS期刊属于中国科学院文献情报中心期刊分区综合性期刊大类的Top期刊,在SCI多学科科学类别里为一区。


原文链接:
Asymmetric biomimetic transamination of alpha-keto amides to peptides.pdf