发布时间:2020-06-10 浏览次数:749次
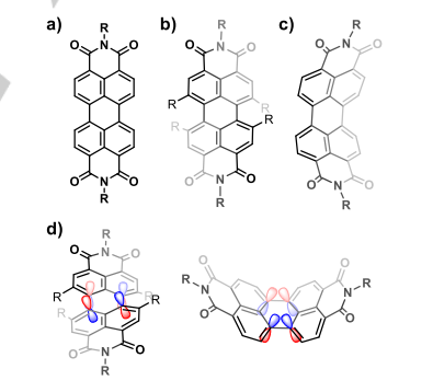
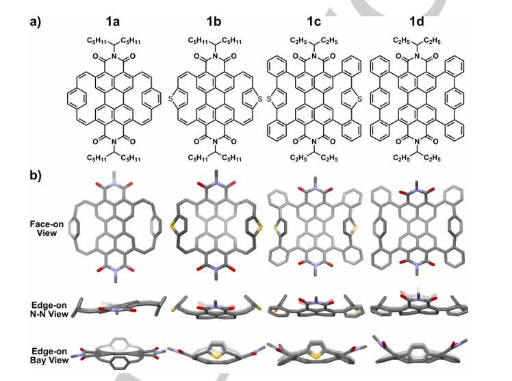
我校化学与材料科学学院肖胜雄教授团队于2020年6月3日在Angewandte Chemie International Edition期刊(《德国应用化学》)上在线发表了题为“Stringing the PDI Bow”的研究论文。该论文第一作者为化学与材料科学学院刘泰峰老师,论文共同通讯作者为化材学院肖胜雄教授,此外哥伦比亚大学的学者也共同参与该项研究。此研究获得国家自然科学基金、上海市科学技术委员会等项目资助。此论文是我校科研团队2020年第一次以通讯单位的身份在Angewandte Chemie International Edition上发表的研究成果。Angewandte Chemie International Edition期刊位于中科院JCR化学大类一区,2016-2018年平均影响因子为12.118,该刊位于SCI化学学科的一区。



原文链接:https://onlinelibrary.wiley.com/doi/10.1002/anie.202004989